Tamura’s 3-parameter model corrects for multiple hits, taking into account differences in transitional and transversional rates and G+C-content bias (1992). It assumes an equality of substitution rates among sites.
The Tamura 3-parameter model

MEGA provides facilities for computing the following quantities:
Quantity |
Description |
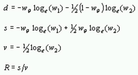
d: Transitions & Transversions |
Number of nucleotide substitutions per site. |
s: Transitions only |
Number of transitional substitutions per site. |
v: Transversions only |
Number of transversional substitutions per site. |
R = s/v |
Transition/transversions ratio. |
L: No of valid common sites |
Number of sites compared. |
The formulas for computing these quantities are as follows:
Distances

where P and Q are the proportion of sites with transitional and transversional differences respectively, and

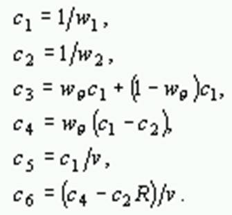
Variances

where

See also Nei and Kumar (2000), page 39.